Contoh Soal Matematika Turunan Dan Jawabannya

May 03, 2021

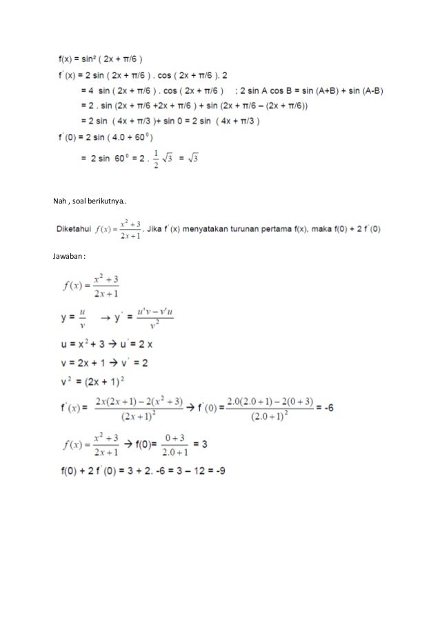
Kumpulan Contoh Soal Turunan (Jawaban & Pembahasan) Contoh Soal dan Pembahasan Turunan Fungsi Aljabar 4 Soal Matematika: Soal turunan fungsi dengan pembahasan Turunan Pembahasan dan Contoh Soal - Matematika Contoh Soal dan Pembahasan Turunan Fungsi Aljabar Turunan Pembahasan dan Contoh Soal - Matematika Contoh Soal dan Pembahasan Turunan Fungsi Aljabar Turunan Pembahasan dan Contoh Soal - Matematika SMK N 1 RAO SELATAN : Soal turunan fungsi dengan pembahasan Contoh Soal Dan Jawaban Bab Turunan – IlmuSosial.id Aturan Dan Sifat Turunan Fungsi Aljabar Kunci Jawaban Quipper - Bali Teacher Contoh + jawaban TURUNAN 15. soal soal diferensial Contoh Soal Fungsi Turunan Beserta Jawaban minta contoh soal turunan fungsi trigonometri serta pembahasan yaa - Brainly.co.id Contoh Soal Matematika Turunan Fungsi Aljabar Kelas XI SMA/SMK Kurikulum 2013 dan Pembahasannya - Kumpulan Soal Ujian Soal dan Pembahasan Turunan Fungsi Aljabar dengan Pendekatan Logaritma | Istana Mengajar Latihan Matematika Turunan (Soal Dan Pembahasan) Contoh Soal Turunan Fungsi Pangkat Beserta Pembahasannya Soal dan Pembahasan Turunan Fungsi Aljabar dengan Pendekatan Logaritma | Istana Mengajar dindapermatasari: PEMBAHASAN SOAL TURUNAN MATEMATIKA √ Turunan Matematika: Materi, Aljabar, Trigonometri, Aplikasi Turunan Contoh Soal Aplikasi Turunan (Diferensial) dan Jawaban [+Pembahasan] Soal dan Pembahasan Turunan Fungsi Implisit (1-5) | Istana Mengajar Soal Dan Pembahasan Turunan Fungsi Trigonometri Pdf Modul matematika-kelas-xi-turunan-fungsi Bank Soal Matematika Fungsi Turunan 4 Soal Matematika: Soal turunan fungsi dengan pembahasan JAGOAN BELAJAR: contoh soal dan pembahasan turunan(differensial) 15.+Soal Soal+Diferensial Pembahasan Turunan Pembahasan dan Contoh Soal - Matematika Contoh Soal Fungsi Turunan Beserta Jawaban Contoh Soal Dan Pembahasan Turunan Fungsi Trigonometri - Contoh Soal Terbaru Contoh Soal Turunan Fungsi Aljabar Beserta Jawabannya - Materi Belajar √ Turunan Matematika: Materi, Aljabar, Trigonometri, Aplikasi Turunan Pembahasan Soal Turunan UN 2018 Fisika Matematika : Contoh Soal Diferensial/ Turunan Parsial (1) - YouTube Rangkuman, Contoh Soal & Pembahasan Turunan Soal dan Pembahasan Turunan Fungsi Trigonometri Harga Mutlak | Istana Mengajar Contoh Soal Limit Fungsi Aljabar Dan Pembahasannya | Kumpulan Soal pelajaran 6 Matematika Kelas 11 Bab 08-06 Turunan Fungsi Aljabar Contoh Soal - YouTube PDF) Soal dan Penyelesaian Turunan pdf | Galih Dewangga - Academia.edu Pembahasan turunan Soal dan Pembahasan Turunan Fungsi Aljabar - “ILMUKU DUNIAKU” √ Turunan Matematika: Materi, Aljabar, Trigonometri, Aplikasi Turunan Soal dan Pembahasan - Turunan Fungsi Aljabar - Mathcyber1997 90+ Soal dan Pembahasan Matematika Dasar Limit Fungsi Aljabar | defantri.com Contoh Soal Aplikasi Turunan (Diferensial) dan Jawaban [+Pembahasan] Rumus Turunan Matematika dan Contoh Soal Lengkap 30+ Soal dan Pembahasan Matematika Dasar Turunan Fungsi Trigonometri | defantri.com Soal dan Pembahasan - Aplikasi Turunan (Diferensial) - Mathcyber1997 Kumpulan Contoh Soal Turunan (Jawaban & Pembahasan) Turunan Trigonometri - Rumus Turunan Fungsi Trigonometri - Soal, Jawab √ Pengertian Trigonometri, Turunan, Fungsi, Rumus, Contoh Soal - ILMUPELAJARAN.COM Soal dan Pembahasan - Ujian Akhir Semester (UAS) Kalkulus Diferensial – Prodi Pendidikan Matematika FKIP Untan - Mathcyber1997 Rumus Turunan (diferensial) - Tabel Turunan Kalkulus - Soal dan Jawaban Soal Essay Fungsi Turunan dan Pembahasannya - Apipah.com Soal Turunan Dan Pembahasan – IlmuSosial.id Contoh Soal dan Pembahasan Turunan Fungsi Aljabar Contoh Soal Aplikasi Turunan (Diferensial) dan Jawaban [+Pembahasan] Soal dan Pembahasan Turunan Fungsi Logaritma (1-3) | Istana Mengajar Aplikasi Turunan Fungsi (*Soal BSE Matematika SMA Kelas XI IPA) | defantri.com Contoh Soal Dan Jawaban Bab Turunan – IlmuSosial.id Contoh Soal Dan Jawaban Turunan Fungsi Aljabar - Dapatkan Contoh Contoh Soal Dan Jawaban Matematika Tentang Turunan Fungsi - Peranti Guru √ Turunan Matematika: Materi, Aljabar, Trigonometri, Aplikasi Turunan Contoh Soal Turunan | Contoh Soal Dan Materi Pelajaran 7 SOAL FUNGSI TURUNAN MATEMATIKA DAN JAWABAN | SOAL UTBK SBMPTN 2021 DAN PEMBAHASAN [PDF] Turunan Pembahasan dan Contoh Soal - Matematika Rangkuman, Contoh Soal & Pembahasan Turunan Contoh Soal Turunan | Contoh Soal Dan Materi Pelajaran 7 Soal integral dan pembahasan Soal dan Pembahasan Turunan Fungsi dan Aplikasinya (1-5) | Istana Mengajar Rumus Dan Contoh Soal Turunan Fungsi Trigonometri Lengkap Soal dan Pembahasan Turunan Fungsi Aljabar (DIFERENSIAL) - Materi Matematika SMA - Fastest-Math Pembahasan Soal UN Matematika SMA 2017 No 24 Soal Cerita Aplikasi Turunan Menentukan luas maksimum - YouTube Turunan Pembahasan dan Contoh Soal - Matematika 4 Soal Matematika: Soal turunan fungsi dengan pembahasan Aplikasi Turunan Rangkuman, Contoh Soal & Pembahasan Turunan Contoh Soal Dan Pembahasan Turunan Fungsi Trigonometri - Dapatkan Contoh Contoh Soal Dan Jawaban Bab Turunan – IlmuSosial.id Soal dan Pembahasan Turunan Fungsi Implisit (1-5) | Istana Mengajar Rumus Turunan (diferensial) - Tabel Turunan Kalkulus - Soal dan Jawaban √ Turunan Matematika: Materi, Aljabar, Trigonometri, Aplikasi Turunan Contoh Soal dan Pembahasan Turunan Fungsi Aljabar Contoh Soal Turunan Fungsi Aljabar Pilihan Ganda dan Kunci Jawaban beserta Pembahasan - Turunan merupakan pengukuran terhadap bagaiman… | Kalkulus, Matematika, Buku Aturan Rantai Turunan Fungsi | Edumatik.Net 1001 soal pembahasan kalkulus Contoh Soal Dan Jawaban Bab Turunan – IlmuSosial.id Materi Turunan Fungsi Lengkap Dengan Soal Dan Pembahasan Sharematika - Cute766 Matematika Kelas 11 Bab 08-04 Turunan Jumlah dan Selisih Fungsi - YouTube Contoh Soal Aplikasi Turunan (Diferensial) dan Jawaban [+Pembahasan] Pembahasan turunan Contoh Soal Turunan Fungsi Aljabar Beserta Jawabannya - Materi Belajar Soal Dan Pembahasan Turunan Fungsi Trigonometri Pembahasan turunan untuk fungsi trigonometri Contoh Soal dan Pembahasan Turunan Fungsi Aljabar Contoh Soal dan Pembahasan Turunan Fungsi Trigonometri-Aturan Rantai | Matematika Peminatan Kelas 12 - YouTube Turunan Fungsi Aljabar : Rumus dan Contoh Soal

Sebutkan Organ Yang Menyusun Sistem Pencernaan Makanan

Materi Akuntansi Kelas 10 Semester 2